連標準和規范都是照搬照抄它們的。比如2011年新頒布的GMP標準,就是基本全部抄襲歐盟的GMP標準。特別是其中的廠房和設施這一部分,更是如此。
1.凈化車間潔凈等級圖表如下
我們知道,一般的潔凈室等級是這樣的

工程中常見的粒子檢測項目為檢測0.5um和5um兩類粒子
我們從這個表格中發現ISO5對應著我們通常所說百級,ISO7對應著通常的萬級,而且我們常規的百級或者萬級的定義,都是針對0.5um這個級別的粒子的。
即每立方英尺空氣中,大于等于0.5um動力學直徑的粒子數量不超過100個就是百級,經過換算可得100粒/每立方英尺=3520粒/每立方米=3.52粒/升
同理,我們也可以獲得萬級的定義為大于等于0.5um動力學直徑的粒子數量不超過10000個就是萬級,經過換算,我們可以得到10000粒/每立方英尺=352000粒/每立方米=352粒/升
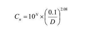
那么我們已經知道0.5um這個級別的粒子數量了,如何知道其他粒子的數量呢?
這里有一個公式來進行計算,如下:

大家可以自行按照此公式計算各種粒子的濃度
筆者注: N為ISO級別,D為某一種粒子的粒徑
以上為常見的粒子和潔凈度的相關性指標,為電子行業,制藥行業,生物研發實驗室等所采用
2.制藥行業的潔凈度等級
在1的基礎上,制藥行業的潔凈度等級又有了進一步的劃分,
首先增加了動態和靜態的區別
其次增加了對于菌落的檢測要求
如下圖
對比我們可以發現,制藥行業不僅僅關心靜態的參數,也關心生產時候的動態參數,包括各個級別的粒子濃度和微生物濃度。顯然這在正常潔凈等級的要求上,又有了新的要求。
并且對于不同的生產工藝,要求也是不同的。今天先不展開了,等到后面的文章再陸續介紹吧!
3、全球各國高效過濾器檢測標準
對于高效過濾器,不同的國家有不同的標準,這里我主要列出美國 歐盟和中國的標準給大家參考
中國標準-鈉焰法

美國標準--DOP法或者MPPS法

歐盟標準-MPPS法 EN1882
如果觀察的話,我們會發現由于采用了不同的方法,很難進行準確的比較,但是采用近似的比較還是可以的,比如中國的B級別等效于美國的C級別等效于歐盟的H14,由于現在國內主要采用歐盟的標準,因此我把美國標準和歐盟的標準的比較表格放置如下
經過比較我們發現
美標的A級別等效于歐標的H13
美標的C級別等效于歐標的H14
美標的D級別等效于歐標的U15
4.PM2.5和高效過濾器
現在因為霧霾的原因導致越來越多的家庭開始采購室內空氣凈化器
比如下面這個
不管它的說明書有多花哨,本質就是里面安裝了HEPA,一般而言,H13已經完全滿足要求了。
當然里面還會有一些初效濾網,活性炭過濾等
如果非常在意家中的空氣質量,是可以考慮買一個的!!!
參考書目
1. ISO14644 1-5
2. EN1822 1-5
3. IEST-RP-CC001.4
4. GB 13554-2008
深圳市藍思凈化科技有限公司,致力于凈化行業十余年,是一家集空氣過濾器和凈化設備研發,生產與銷售的高科技企業,產品涵蓋各行業所需的空氣凈化設備及服務,包括對顆粒物(PM10,PM2.5,PM0.1)、病菌、氣態分子污染物(TVOC, 酸性,堿性氣體)等的評估和檢測,并提供全面有效的空氣凈化解決方案。公司從國外引進目前世界最先進的無隔板過濾器生產線及專有技術。可按GB/T 14295-2008國家標準,GB/T 13554-2008國家標準及國家GMP規范要求為生物制藥。。。。。
詳細介紹